5 класс. Математика. Виленкин. Учебник. Часть 2. Применяем математику (страницы 90, 91)
Ответы к заданию Применяем математику на страницах 90 и 91
Номер 1.
Дорожный знак разрешает движение со скоростью 50 км/ч. Автомобиль движется со скоростью, указанной на спидометре (рис. 5.69).

а) Нарушит ли водитель правила уличного движения, если не снизит скорость?
Спидометр показывает 60 км/ч, значит, если водитель не снизит скорость, то он нарушит правила движения.
б) На сколько делений и в какую сторону передвинется стрелка, когда скорость снизится до 35 км/ч?
Стрелка передвинется на 60 — 35 = 25 делений в левую сторону.
в) Каким будет показание спидометра, когда автомобиль остановится?
Когда машина остановится показание спидометра станет 0 км/ч.
Номер 2.
а) На завтраке в детском саду Маша оставила на тарелке четверть каши, а Лена — треть. Кто съел больше?
Значит, у Лена осталось больше каши, чем у Маши. Поэтому, Маша съела больше.
б) На рисунке 5.70 показано, сколько каши осталось на тарелке у Саши и Миши. Мальчики сказали, что съели половину каши. Кто из них прав, если каша размазана ровным слоем?

По рисунку видно, что половину каши съел тот мальчик, чья тарелка находится справа.
Номер 3.
Имеется прямоугольный лист стекла шириной 6/10 м и длиной 8/10 м.
а) Можно ли из этого листа вырезать для круглого окна стекло диаметром 
![]() |
Нельзя вырезать стекло диаметром 1 м. |
![]() |
Нельзя вырезать стекло диаметром 8/10 м. |
![]() |
Можно вырезать стекло диаметром 6/10 м. |
![]() |
Можно вырезать стекло диаметром 3/10 м. |
б) Сколько круглых стекол можно вырезать из этого листа, если радиус стекла равен 
1) Радиус 1/10 м:
(м) — диаметр круга
ширина листа 3 раза умещает диаметр круга
— длина листа 3 раза умещает диаметр круга
3 ⋅ 4 = 12 (кругов) — с радиусом 1/10 м вырезать из прямоугольника.
2) Радиус 15/100 м:
(м) — диаметр круга
ширина листа 2 раза умещает диаметр круга
длина листа 2 раза умещает диаметр круга
2 ⋅ 2 = 4 (круга) — с радиусом 15/100 м вырезать из прямоугольника.
Номер 4.
Свете надо прочитать повесть за 4 дня. В первый день Света прочитала 2/11 повести, во второй — в 2 раза больше и в третий — 2/11. Успеет ли Света прочитать повесть?
1)
(повести) — прочитала во 2-й день
2)
(повести) — прочитала за 3 дня
3)
(повести) — нужно прочитать в 4-й день
Ответ: успеет, если в четвертый день прочитает 3/11 повести.
Номер 5.
В сезон урожая цена на огурцы со 120 р. за килограмм уменьшилась на половину, а к зиме возросла на 2/3. Какой стала цена огурцов зимой?
1) 120 : 2 = 60 (p.) — цена в сезон
2)
— подорожали к зиме
3) 60 + 40 = 100 (р.) — цена зимой
Ответ: 100 рублей.
Номер 6.
Жители поселка должны быть эвакуированы во время паводка, если вода поднимется на 2 м. В первый день паводка вода поднялась на 2/5 м, во второй — на 3/4 м и в третий — на 7/10 м. На следующий день уровень воды может подняться еще на полметра. Надо ли объявлять эвакуацию?
1)
(м) — поднимется вода за 4 дня
2)
— значит, нужно объявлять тревогу
Ответ: надо объявлять эвакуацию.
Номер 7.
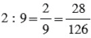
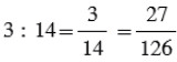
Для покраски пола в магазине представлено три вида краски. Расход первой краски составляет 2 кг на 9 м2, второй — 3 кг на 14 м2, а третьей — 4 кг на 21 м2. Какую краску выгоднее купить?
1)
— расход первой краски на 1 м2
2)
— расход второй краски на 1 м2
3)
— расход третьей краски на 1 м2
4)
— выгоднее купить третью краску
Ответ: третью краску.
Номер 8.
В первый стакан налили молоко, во второй — такое же количество чая и половину молока перелили в стакан с чаем. Затем из второго стакана половину смеси перелили в первый стакан. Чего больше: молока в чае или чая в молоке?
Количество молока и чая изначально были равны, так как в стаканы было влито одно и то же количество жидкостей. Значит, молока и чая одинаковое количество.
Номер 9.
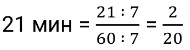
Сможет ли курьер доставить посылку за 21 мин, если он идет со скоростью 7 км/ч и пройти нужно 3 км?
1)
(ч) — время, за которое нужно доставить посылку
2)
(ч) — время, за которое курьер доставит посылку
3)
— значит, курьер не успеет
Ответ: не успеет.
Номер 10.
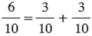
Миша может покрасить забор на даче за 15 ч, а Дима — за 12 ч. Какую часть забора они смогут покрасить за 1 ч вместе? Смогут ли они покрасить весь забор за 7 ч?
1)
(забора) − смогут покрасить вместе за 1 ч
2)
(забора) − смогут покрасить вместе за 7 ч
3)
— значит, смогут покрасить весь забор за 7 ч
Ответ: 3/20 забора; да, смогут.
Номер 11.
Из металлического уголка требуется изготовить каркас аквариума, имеющего форму прямоугольного параллелепипеда. Длина параллелепипеда равна 3/4 м, высота на 7/20 м меньше длины, а ширина на 1/10 м меньше высоты. Сколько метров металлического уголка потребуется для изготовления аквариума?
1)
(м) — высота
2)
(м) — ширина
3)
(м) — потребуется металлического уголка
Ответ:
м.
Номер 12.
Как отмерить 50 см от веревки длиной 3/3 м, не имея никаких измерительных инструментов?

1)
— нужно отрезать, чтобы осталось 50 см
2)
— веревка содержит четыре шестых доли
Если отрезать одну такую долю, то останется как раз 50 см. Для этого нужно сложить веревку пополам два раза так, чтобы получились четыре равные части и отрезать одну такую часть, которая и составит 50 см.
Номер 13.
Для ремонта в ванной комнате купили 560 плиток. Сколько надо купить пачек клея, если одной пачкой можно приклеить 60 плиток?
— надо купить 10 пачек клея
Ответ: 10 пачек.
Номер 14.
Во время весенних каникул Петя составил примерный план дня:
зарядка и уборка в комнате — 1/30 суток;
игры с друзьями на улице — 1/6 суток;
помощь родителям — 1/12 суток;
чтение книг — 1/24 суток;
игры с друзьями в сети — 1/12 суток;
чтение книг и игры с младшим братиком и сестренкой — 1/16 суток;
завтрак, обед, ужин — 1/16 суток;
игра в шахматы — 1/12 суток;
сон — 10 ч.
Можно ли выполнить такой план?
1 сутки = 24 ч
(суток) — на сон

— не сможет выполнить свой план
Ответ: план нельзя выполнить.
Номер 15.
В нашей стране наибольшее количество осадков за год (
м) выпадает у горы Ачишхо на Западном Кавказе, а наименьшее (
м) — в Прикаспийской низменности. На сколько больше выпадает осадков около горы Ачишхо?
(м) — больше выпадает осадков около горы Ачишхо
Ответ: на
м больше.
Номер 16.
В таблице приведены данные при производстве бруса из древесины. Заполните таблицу и ответьте на вопросы:

1) Выход древесины после распиловки:

2) Выход древесины после сушки:

3) Выход древесины после строгания:

а) Сколько кубометров древесины теряется при производстве бруса?

б) Из какой древесины получается больше бруса?
— больше бруса получается из хвойной древесины
в) Во сколько раз уменьшился объем древесины?
(раза) − уменьшился объем хвойной древесины
(раза) − уменьшился объем лиственной древесины



