5 класс. Математика. Виленкин. Учебник. Часть 2. Проверьте себя (страница 20)
Ответы к заданию Проверьте себя на странице 20
Проверочная работа №1
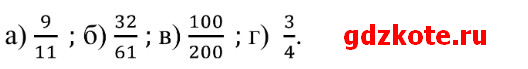
Номер 1.
Запишите дробь:
а) девять одиннадцатых;
б) тридцать две шестьдесят первых;
в) сто двухсотых;
г) три четверти.

Номер 2.
Какую часть часа составляют 7 минут?
1 ч = 60 мин

Номер 3.
На бант израсходовали 60 см ленты. Какова длина всей ленты, если на бант израсходовали шестую часть ленты?
Краткая запись:
Израсходовали 60 см, это 
Вся лента – ?
60 · 6 = 360 (см) – длина всей ленты
Ответ: 360 сантиметров.
Номер 4.
Бревно длиной 3 м распилили на 5 равных частей. Какова длина каждой части бревна? Запишите ответ в метрах; сантиметрах.
Краткая запись:
5 частей – 3 м = 300 см
1 часть – ?
1) 3 : 5 =
(м) – длина каждой части бревна
2) 300 : 5 = 60 (см) – длина каждой части бревна
Ответ:
м = 60 см.
Номер 5.
Какая часть фигуры на рисунке 5.25 закрашена?


Номер 6.
Какая часть фигуры на рисунке 5.26 не закрашена?


Проверочная работа №2
Номер 1.
Какую часть составляет:
а) 1 мм от 1 см;
1 см = 10 мм
1 мм =
см
б) 1 мм2 от 1 см2?
1 см2 = 100 мм2
1 мм2 =
мм2
Номер 2.
Готовясь к контрольной работе по математике, Миша решил 36 задач. Треть задач показались Мише лёгкими. Треть оставшихся задач он посчитал задачами среднего уровня сложности. Остальные задачи были сложными.
Краткая запись:
Всего – 36 задач
Лёгкие –
задач
Средние –
оставшихся задач
Сложные – ?
а) Сколько лёгких задач решил Миша?
36 : 3 = 12 (задач) – лёгкие
Ответ: 12 лёгких задач.
б) Сколько сложных задач решил Миша?
1) 36 – 12 = 24 (задачи) – оставшиеся задачи
2) 24 : 3 = 8 (задач) – среднего уровня сложности
3) 24 – 8 = 16 (задач) – сложные
Ответ: 16 сложных задач.
в) Задач какого уровня сложности Миша решил больше всего?
Больше всего решено сложных задач.
г) На сколько больше сложных задач, чем задач среднего уровня сложности, решил Миша?
16 – 8 = 8 (задач) – больше сложных задач, чем задач среднего уровня сложности
Ответ: на 8 задач больше.
д) Какую часть составляют задачи среднего уровня сложности от всех решённых задач?
всех решенных задач составляют задачи среднего уровня сложности
Ответ:
части.
е) Какую часть составляют сложные задачи от всех решённых задач?
всех решенных задач составляют сложные задачи
Ответ:
части.
ж) Постройте столбчатую диаграмму, отображающую количество лёгких, средних и сложных задач, решённых Мишей (одна клетка тетради соответствует двум решённым задачам).
