5 класс. Математика. Виленкин. Учебник. Часть 2. Проверьте себя (страница 41)
Ответы к заданию Проверьте себя на странице 41
Проверочная работа
Номер 1.
Запишите,
а) дробь, у которой числитель равен 2, а знаменатель равен 3;

б) в виде дроби частное чисел 5 и 7;

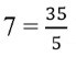
в) в виде дроби со знаменателем 5 число 7;

г) в виде дроби со знаменателем 7 число 5.

Номер 2.
Запишите:
а) наибольшую правильную дробь со знаменателем 7;

б) наименьшую неправильную дробь со знаменателем 4.

Номер 3.
Уменьшится или увеличится дробь, если;
а) к числителю дроби прибавить единицу;
Дробь увеличится.
б) к знаменателю дроби прибавить единицу.
Дробь уменьшится.
Номер 4.
Решите уравнение:

Номер 5.
Поле занимает площадь 5 га. Оно разбито на 6 равных участков. Сколько гектаров занимает каждый участок?
Краткая запись:
6 участков – 5 га
1 участок – ?
5 : 6 =
(га) – занимает каждый участок
Ответ:
га.