5 класс. Математика. Виленкин. Учебник. Часть 2. Проверьте себя (страница 73)
Ответы к заданию Проверьте себя на странице 73
Проверочная работа №1
Номер 1.
Сравните дроби.

Номер 2.
Какая из дробей
наибольшая; наименьшая? Есть ли среди них равные?

Номер 3.
Запишите дроби
в порядке возрастания.

Номер 4.
Больше или меньше половины литровой банки будет заполнено, если в неё налить:
?

Проверочная работа №2
Номер 1.
Вычислите.

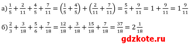
Номер 2.
Найдите сумму.

Номер 3.
Домашнее задание по математике Петя делал 1/3 ч, задание по истории – 1/4 ч, а задание по русскому языку – 5/12 ч.
а) Сколько времени ушло у Пети на выполнение всех домашних заданий?

б) На сколько больше времени ушло у Пети на выполнение задания по русскому языку, чем задания по истории?

в) Сколько времени ушло у Пети на выполнение заданий по истории и по математике вместе?

Проверочная работа №3
Номер 1.
Найдите разность.

Номер 2.
Найдите значение выражения.

Номер 3*.
Проверьте, верно ли равенство.
Объясните, почему так получилось.
