5 класс. Математика. Виленкин. Учебник. Часть 2. Упражнение 5.288
Ответы к упражнению 5.288
Другие решебники 5 класс:
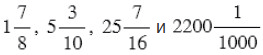
На координатном луче отмечены числа
. Между какими натуральными числами они расположены?

Решебник
На координатном луче отмечены числа
. Между какими натуральными числами они расположены?
