5 класс. Математика. Виленкин. Учебник. Часть 2. Упражнение 5.290
Ответы к упражнению 5.290
Другие решебники 5 класс:
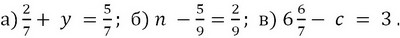
Составьте условие задачи по уравнению:

а) В канистре было
литров бензина. После того как в нее долили некоторое количество бензина, в канистре стало —
литров бензина. Сколько литров бензина долили в канистру.

б) Разность чисел равна
, вычитаемое равно
. Найдите уменьшаемое.

в) От ленты длиной
метров отрезали кусок. Длина ленты стала 3 метра. Сколько метров ленты отрезали?
