5 класс. Математика. Виленкин. Учебник. Часть 2. Упражнение 5.302

Ответы к упражнению 5.302

содержание

Другие решебники 5 класс:

Настя на приготовление уроков затратила ч, а на прогулку — на ч больше. Сколько времени затратила Настя на прогулку и приготовление уроков вместе?
Краткая запись:
Уроки — ч
Прогулка — ?, на ч больше
Всего — ?

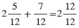
1) = 3 (ч) – затратила Настя на прогулку
2) (ч) — затратила Настя на прогулку и приготовление уроков
Ответ: ч.