5 класс. Математика. Виленкин. Учебник. Часть 2. Упражнение 5.341

Ответы к упражнению 5.341

содержание

Другие решебники 5 класс:

Один станок-автомат за 12 ч изготавливает 40 высокоточных деталей, а другой за 9 ч — 30 таких же деталей. Сравните производительность обоих станков.
Краткая запись:
12 ч — 40 дет.
9 ч — 30 дет.
Производительность — ?

1) (детали/час) – производительность первого станка
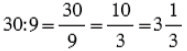
2) (детали/час) – производительность второго станка
3) — производительности станков равны
Ответ: производительности равны.