5 класс. Математика. Виленкин. Учебник. Часть 2. Упражнение 5.347
Ответы к упражнению 5.347
Другие решебники 5 класс:
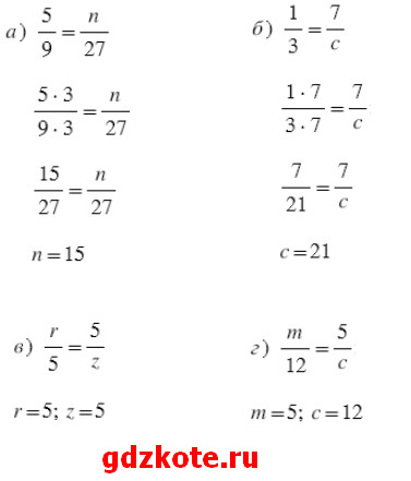
Замените буквы цифрами так, чтобы равенство стало верным.

Решебник
Замените буквы цифрами так, чтобы равенство стало верным.
