5 класс. Математика. Виленкин. Учебник. Часть 2. Упражнение 5.407
Ответы к упражнению 5.407
Другие решебники 5 класс:
Три брата Андрей, Матвей и Тимофей вскапывали грядки одинаковой длины. За одно и то же время один вскопал 2/3 грядки, другой – 5/9 грядки, а третий – 3/5 грядки. Какую часть грядки осталось вскопать каждому, если известно, что Андрей вскопал больше Тимофея, а Матвей – больше Андрея?
Краткая запись:

– вскопал один
– вскопал другой
– вскопал третий

Значит:
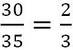
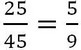
Тимофей вскопал
грядки
Андрей вскопал
грядки
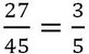
Матвей вскопал
грядки
(грядки) – осталось вскопать Тимофею
(грядки) – осталось вскопать Андрею
(грядки) – осталось вскопать Матвею
Ответ: 4/9 грядки Тимофею, 2/5 грядки Андрею, 1/3 грядки Матвею.