5 класс. Математика. Виленкин. Учебник. Часть 2. Упражнение 5.422

Ответы к упражнению 5.422

содержание

Другие решебники 5 класс:

Велосипедист в первый час проехал 1/3 пути, во второй час – 3/10 пути, а в третий час – 4/15 пути. Какую часть пути велосипедисту осталось проехать?
Краткая запись:
1 час — 1/3 пути
2 час — 3/10 пути
3 час — 4/15 пути
Осталось — ? пути

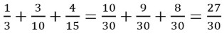
1) (пути) — проехал за 3 часа
2) (пути) осталось проехать
Ответ: 1/10 всего пути.