5 класс. Математика. Виленкин. Учебник. Часть 2. Упражнение 5.449

Ответы к упражнению 5.449

содержание

Другие решебники 5 класс:

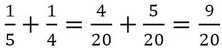
Два велосипедиста двигаются навстречу друг другу. Первый велосипедист за 1 ч проезжает 1/5 расстояния между ними, а второй – 1/4 этого расстояния. На какую часть расстояния они сближаются каждый час?
Краткая запись:
1 велосипедист – 1/5 расстояния за 1 час
2 велосипедист – 1/4 расстояния за 1 час
Сближение за 1 час – ?

(расстояния) – сближаются велосипедисты каждый час

Ответ: расстояния.