5 класс. Математика. Виленкин. Учебник. Часть 2. Упражнение 5.489
Ответы к упражнению 5.489
Другие решебники 5 класс:
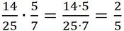
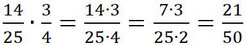
Масса 1 м3 древесины 14/25 т. Найдите массу 3/4 м3 и 5/7 м3 древесины.
Краткая запись:
1 м3 – 14/25 т
3/4 м3 – ?
5/7 м3 – ?
1)
(т) – масса м3 древесины
2)
(т) – масса м3 древесины
Ответ: 