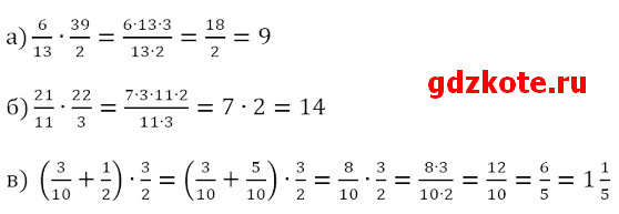
5 класс. Математика. Виленкин. Учебник. Часть 2. Упражнение 5.539 Ответы к упражнению 5.539 содержание Другие решебники 5 класс: Математика Русский язык История Найдите значение выражения. ← предыдущее следующее →