5 класс. Математика. Виленкин. Учебник. Часть 2. Упражнение 5.553
Ответы к упражнению 5.553
Другие решебники 5 класс:
Бригада железнодорожников в первый день отремонтировала 2/9 всего участка пути, во второй день – 4/7 оставшегося участка пути, а в третий – остальные 6 км. Сколько километров пути отремонтировала бригада за три дня?
Краткая запись:

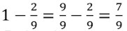
1)
(участка) – оставшийся путь
2)
(участка) – пути во второй день
3)
(участка) – пути в третий день
4)
(км) – за три дня
Ответ: 18 км.