5 класс. Математика. Виленкин. Учебник. Часть 2. Упражнение 6.105
Ответы к упражнению 6.105
Другие решебники 5 класс:
Мише нужно сделать из проволоки длиной 2 м треугольник со сторонами
м,
м,
м. Хватит ли ему проволоки?
Краткая запись:

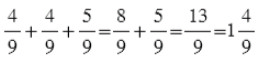
1)
(м) – периметр треугольника
2) 1
м < 2 м — значит, куска проволоки хватит
Ответ: хватит.