5 класс. Математика. Виленкин. Учебник. Часть 2. Упражнение 6.148
Ответы к упражнению 6.148
Другие решебники 5 класс:
Какую часть шахматной доски (рис. 6.18) составляют:

а) три клетки;
8 ∙ 8 = 64 (клетки) – на шахматной доске
— доски составляют три клетки
б) белые клетки;
32 белых клеток на доске
— доски составляют белые клетки
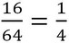
в) 2 ряда клеток;
2 ∙ 8 = 16 (клеток) – два ряда на доске
— доски составляют 2 ряда клеток
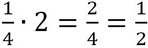
г) 4 ряда клеток?
— доски составляют 4 ряда клеток