5 класс. Математика. Виленкин. Учебник. Часть 2. Упражнение 6.15
Ответы к упражнению 6.15
Другие решебники 5 класс:
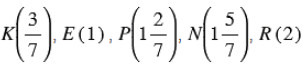
Найдите координаты пяти точек на рисунке 6.2 и запишите их в порядке возрастания. Запишите координаты двух чисел, которые меньше любой из этих координат.

В порядке возрастания:

Числа 1/7 и 2/7 меньше любой из этих координат.