5 класс. Математика. Виленкин. Учебник. Часть 2. Проверьте себя (страница 78)
Ответы к заданию Проверьте себя на странице 78
Другие решебники 5 класс:
Проверочная работа
Номер 1.
Вычислите.

Номер 2.
Выполните действия.

Номер 3.
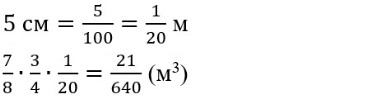
На заказ сделан аквариум с измерениями 7/8 м, 3/4 м, 1/2 м.
Наименьшее из измерений – высота аквариума.

а) Найдите объём грунта, необходимого для заполнения аквариума , если толщина слоя грунта равна 5 см.

Ответ: объём грунта
м3.
б) Для расчёта затрат на профилактику течи найдите общую длину всех швов аквариума (места соединения стёкол).

Ответ: длина швов
м.
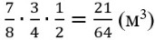
в) Найдите объем аквариума.

Ответ: объем аквариума
м3.
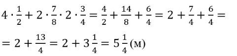
г)* Сколько кубометров воды можно налить в аквариум, чтобы вода не доходила на 10 см до края?

(м) — высота воды с учетом грунта
(м3) — объём воды
Ответ: можно налить
м3.