5 класс. Математика. Виленкин. Учебник. Часть 2. Упражнение 5.492
Ответы к упражнению 5.492
Другие решебники 5 класс:
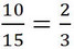
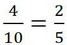
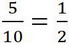
Отрезок АН на рисунке 5.64 разделён на 15 равных частей.

Найдите по рисунку, какую часть составляет отрезок:
а) АВ от отрезка АН;

б) АС от отрезка АН;

в) AD от отрезка АН;

г) АЕ от отрезка АG;

д) AF от отрезка АН;

е) EG от отрезка AG;

ж) DE от отрезка DH;

з) FH от отрезка DH;

и) АС от отрезка DF.
