5 класс. Математика. Виленкин. Учебник. Часть 2. Упражнение 5.283
Ответы к упражнению 5.283
Другие решебники 5 класс:
В первый рейс грузовой автомобиль привёз на элеватор
т зерна, что на
т больше, чем он привёз во второй рейс. Сколько тонн зерна привёз грузовой автомобиль за два рейса? Выразите ответ в центнерах.
Краткая запись:

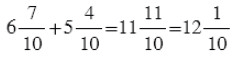
1)
(т) – зерна во второй рейс
2)
т) – зерна за два рейса
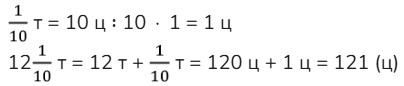
1 т = 10 ц
12 т = 120 ц

Ответ: 121 ц зерна за два рейса.