5 класс. Математика. Виленкин. Учебник. Часть 2. Упражнение 5.284
Ответы к упражнению 5.284
Другие решебники 5 класс:
1) До остановки автобус ехал
ч, а на оставшийся путь он затратил на
ч меньше. За сколько часов автобус проехал весь маршрут, если на остановке автобус стоял
ч? Ответ выразите в минутах.
Краткая запись:

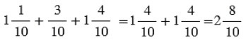
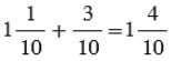
1)
(ч) — ехал после остановки
2)
(ч) — составил весь маршрут

Ответ: 144 минуты.
2) В спектакле было два действия: первое действие продолжалось
ч, а второе — на
ч больше. Сколько часов длится спектакль, если антракт длился
ч? Выразите ответ в минутах.
Краткая запись:

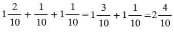
1)
(ч) — второе действие
2)
(ч) — длился спектакль

Ответ: 168 минут.