5 класс. Математика. Виленкин. Учебник. Часть 2. Упражнение 5.513
Ответы к упражнению 5.513
Другие решебники 5 класс:
В торговом центре 3/7 всего персонала – продавцы и кассиры, 7/12 оставшегося персонала – технические работники, а остальные – менеджеры и администрация.
Краткая запись:

а) Какую часть персонала составляют менеджеры и администрация?
1)
(часть) – технические работники, менеджеры и администрация
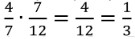
2)
(часть) – технические работники
3)
(часть) – менеджеры и администрация
Ответ: 5/21 персонала.
б) Сколько человек работает менеджерами и в администрации, если всего в торговом центре работает 483 человека?

Ответ:115 человек.