5 класс. Математика. Виленкин. Учебник. Часть 2. Упражнение 5.526
Ответы к упражнению 5.526
Другие решебники 5 класс:
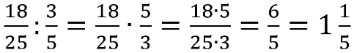
Масса 3/5 л воды Мёртвого моря равна 18/25 кг. Чему равна масса 1 л такой воды? Чему равен объём 1 кг воды?
Краткая запись:

1)
(кг) – масса 1 л воды
2)
(л) – объём 1 кг воды
Ответ: 