5 класс. Математика. Виленкин. Учебник. Часть 2. Упражнение 5.550
Ответы к упражнению 5.550
Другие решебники 5 класс:
Вместимость одной ёмкости для полива огорода составляет 9/16 вместимости другой и равна 288 л. Сколько литров воды в двух ёмкостях вместе?
Краткая запись:

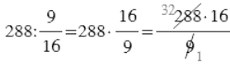
1)
(л) – вместимость первой ёмкости
2) 512 + 288 = 800 (л) – воды в двух ёмкостях вместе
Ответ: 800 л.