5 класс. Математика. Виленкин. Учебник. Часть 2. Упражнение 5.551

Ответы к упражнению 5.551

содержание

Другие решебники 5 класс:

После того как 4/9 заготовленного на зиму сена было израсходовано на кормление животных, осталось 36 т. Сколько тонн сена было заготовлено на зиму?
Краткая запись:
Израсходовано – 4/9 заготовленного
Осталось – 36 т
Всего – ?

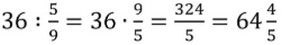
1) – осталось

2) (т) – сена было заготовлено

Ответ: т сена.