5 класс. Математика. Виленкин. Учебник. Часть 2. Упражнение 5.565
Ответы к упражнению 5.565
Другие решебники 5 класс:
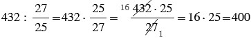
Строители в конце года сдали 432 тыс. м2 жилья, что превысило запланированную площадь на 2/25. Сколько тысяч квадратных метров жилья должны были сдать строители?
Краткая запись:

1)
(жилья) — сдали
2)
тыс. (м2) — планировали сдать
Ответ: 400 тыс. м2.