5 класс. Математика. Виленкин. Учебник. Часть 2. Упражнение 5.566
Ответы к упражнению 5.566
Другие решебники 5 класс:
После того как туристы преодолели на байдарках 12/25 всего пути, им осталось пройти ещё 24 км. Чему равны протяжённость пути туристов?
Краткая запись:

1)
(пути) – осталось пройти
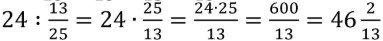
2)
(км) – весь путь
Ответ:
км.